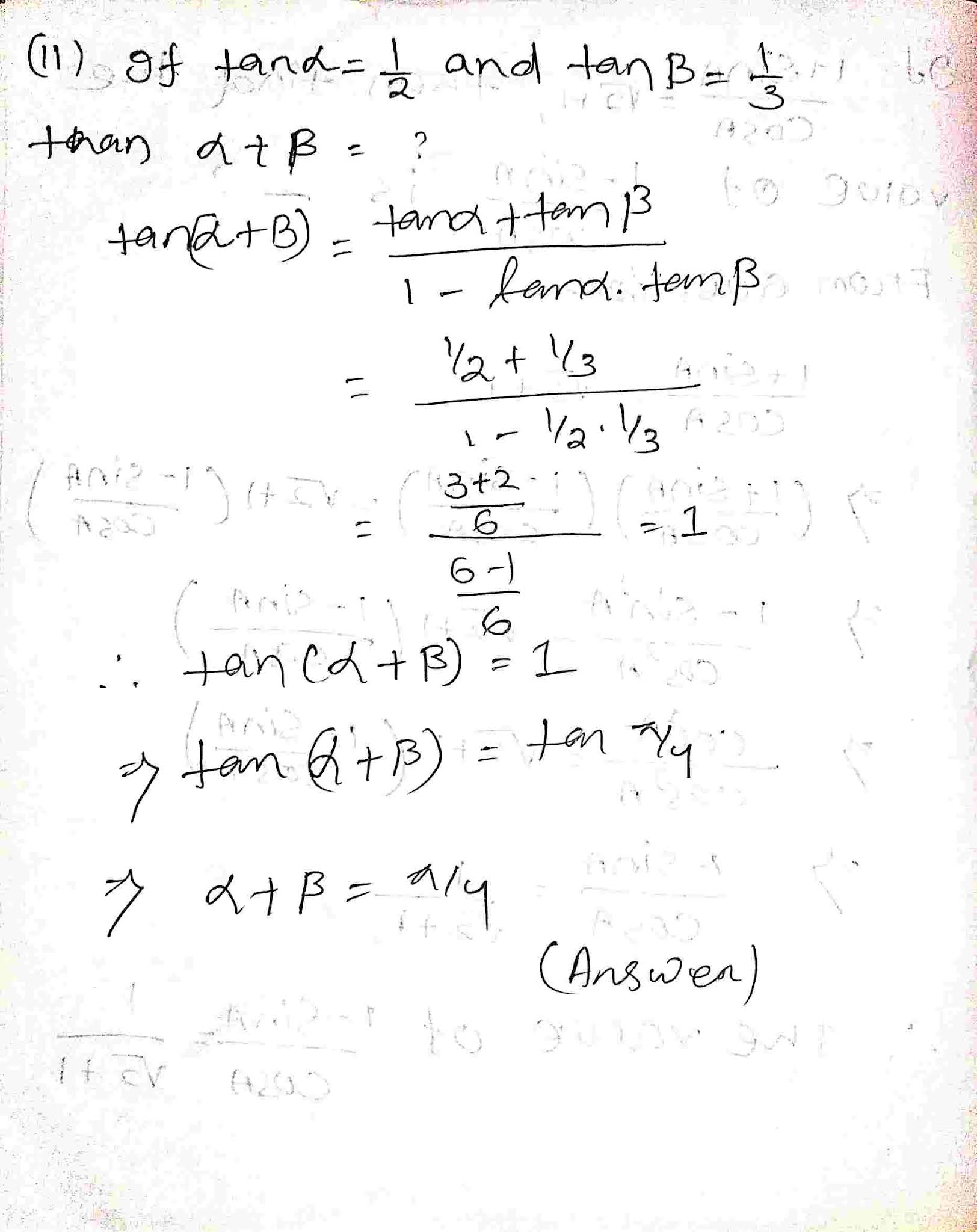
If tanα=1/2 and tanβ=1/3 then find the value of α+β

Steps to solve  If tanα=1/2 and tanβ=1/3 then fin the value of α+β


tan(α+β)

=(tanα+tanβ)/(1-tanα.tanβ)

=(1/2)+(1/3)/{1-(1/2)(1/3)}

=1

Hence tan(α+β)=1

⇒tan(α+β)=tanπ/4

⇒(α+β)=π/4

Hence the value of α+β=π/4

Detail Information:-

If tanα=1/2 and tanβ=1/3 then fin the value of α+β

Similar Questions For You:-

Post a Comment

0 Comments
* Please Don't Spam Here. All the Comments are Reviewed by Admin.